Schema generale
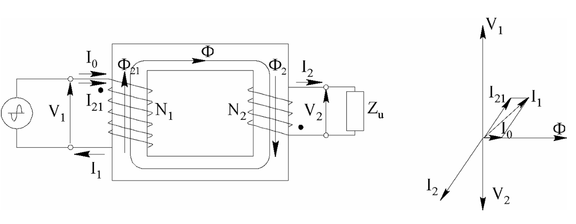
Il trasformatore è un dispositivo costituito da un nucleo in materiale ferromagnetico attorno al quale sono posti due avvolgimenti detti primario e secondario, costituiti da N1 ed N2 spire. La macchina riceve potenza in ingresso dal generatore di alimentazione V1 ed eroga potenza in uscita al carico rappresentato dall’impedenza Zu. Assumeremo per le grandezze elettriche primarie (V1 e I1) e secondarie (V2 e I2) le convenzioni riportate

Funzionamento ideale a vuoto
Il principio di funzionamento per un trasformatore ideale può essere riassunto come riportato nel seguito, esaminando dapprima il comportamento a vuoto e successivamente quello a carico. Funzionamento ideale a vuoto Si alimenti l’avvolgimento primario con una tensione alternativa sinusoidale V1 di pulsazione ω, lasciando aperto l’avvolgimento secondario

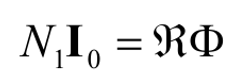
In tali condizioni nessuna corrente fluisce nel circuito secondario (I2 = 0). D’altra parte la corrente primaria assorbita dalla macchina a vuoto, detta corrente magnetizzante e indicata normalmente con I0, determina nel nucleo la generazione di un flusso Φ che, tenuto conto del senso di avvolgimento delle spire N1, è diretto come in Fig1.2. Per il circuito magnetico vale la seguente relazione vettoriale:

dove ℜ è la riluttanza del circuito magnetico. Il flusso Φ generato dalla corrente magnetizzante I0 interessa entrambi gli avvolgimenti. La variazione di flusso nel tempo determina nell’avvolgimento primario una tensione indotta che bilancia la tensione applicata V1, mentre al secondario rende disponibile una tensione indotta V2.
Nel caso in esame, le tensioni al primario e al secondario sono date rispettivamente da:

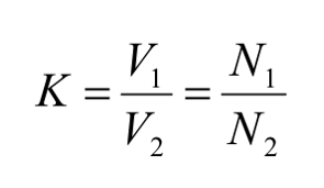
Il vettore della tensione V1 risulta in quadratura in anticipo rispetto al flusso Φ. Il vettore della tensione V2 (tenuto conto del senso in cui sono avvolte le spire secondarie N2 e dei versi convenzionalmente assunti per le grandezze al secondario) risulta in opposizione di fase rispetto alla tensione V1 (vedi il diagramma dei fasori e gli andamenti temporali di Fig1.2). Per caratterizzare compiutamente il trasformatore, quando non risulti possibile conoscere il senso degli avvolgimenti, è usuale identificare con un contrassegno (di solito un puntino) il morsetto primario e quello secondario sui quali le tensioni, rispettivamente primaria e secondaria, presentano la stessa polarità. Tali contrassegni sono stati riportati nelle figure precedenti. Si definisce infine il rapporto di trasformazione come il rapporto fra i moduli delle tensioni al primario e al secondario, a vuoto:

Funzionamento ideale a carico
Si chiuda ora il circuito secondario su un’impedenza di carico Zu

La corrente I2 circolante al secondario produce un flusso Φ2 che tenderebbe a modificare il flusso principale Φ prodotto dalla corrente magnetizzante I0.
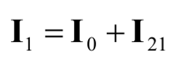
In realtà, poichè la macchina lavora con la tensione di alimentazione V1 costante (in valore efficace), deve rimanere costante anche il valore efficace del flusso Φ nel nucleo. Pertanto, nel funzionamento a carico, oltre alla corrente magnetizzante I0, viene assorbita al primario anche la corrente I21 con lo scopo di compensare gli effetti sul flusso prodotti della corrente secondaria I2. La corrente totale primaria potrà così esprimersi nella forma (Fig.1.3):

In tal modo è possibile che rimanga costante il flusso, ovvero la forza magnetomotrice complessiva. Il bilancio delle amperspire che interessano il circuito magnetico risulta allora:

La relazione precedente stabilisce che, nel caso in esame, i vettori rappresentativi della corrente secondaria I2 e di quella richiamata al primario I21 sono con fase opposta.
