2. Teoria dei Motori Termici

Principali trasformazioni termodinamiche

Compressione adiabatica

  • Descrizione: Il gas viene compresso senza scambiare calore con l’esterno (Q = 0).
  • Effetto: La pressione e la temperatura aumentano, il volume diminuisce.
  • Esempio: Fase di compressione nel cilindro prima della combustione (valvole chiuse).

Riscaldamento isocoro

  • Descrizione: Il gas viene riscaldato a volume costante (V = costante).
  • Effetto: Aumentano pressione e temperatura.
  • Esempio: Combustione nei motori a benzina (Ciclo Otto): il pistone è fermo nel PMS e la miscela brucia rapidamente.

Riscaldamento isobaro

  • Descrizione: Il gas si riscalda a pressione costante (P = costante).
  • Effetto: Aumentano volume e temperatura.
  • Esempio: Combustione nei motori Diesel (Ciclo Diesel): il pistone è in movimento durante la combustione.

Espansione adiabatica

  • Descrizione: Il gas si espande senza scambio di calore (Q = 0).
  • Effetto: Diminuiscono temperatura e pressione, mentre il volume aumenta.
  • Esempio: Fase di espansione utile, detta anche corsa di lavoro del pistone.

Raffreddamento isocoro

  • Descrizione: Il gas si raffredda a volume costante.
  • Effetto: Temperatura e pressione diminuiscono, ma il volume resta fisso.
  • Esempio: Fase finale del ciclo, quando i gas di scarico cedono calore prima di essere espulsi.

Concetto di Motore Termico e Ciclo Termodinamico

  • Il motore termico realizza una conversione di calore in lavoro.
  • È costituito da un fluido termodinamico (gas o vapore) che compie ciclicamente trasformazioni.
  • In ogni ciclo ci sono:
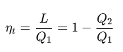
    • Q₁: calore assorbito dalla sorgente calda
    • Q₂: calore ceduto alla sorgente fredda
    • L = Q₁ – Q₂: lavoro utile prodotto

Bilancio Energetico

Il bilancio energetico di un motore termico è espresso da:

q = l

(ovvero il calore netto assorbito è uguale al lavoro netto prodotto)

Rendimento termodinamico

Principali Cicli Teorici: Ciclo Otto (motori a benzina)

  • Due trasformazioni adiabatiche e due isocore (a volume costante).
  • Sequenza:
    1. 1–2: Compressione adiabatica
    2. 2–3: Riscaldamento isocoro
    3. 3–4: Espansione adiabatica
    4. 4–1: Raffreddamento isocoro

Principali Cicli Teorici: Ciclo Diesel (motori a gasolio)

  • Due trasformazioni adiabatiche, una isobara e una isochora.
  • Sequenza:
    1. 1–2: Compressione adiabatica
    2. 2–3: Riscaldamento isobaro (combustione)
    3. 3–4: Espansione adiabatica
    4. 4–1: Raffreddamento isocoro

Principali Cicli Teorici: Ciclo Sabathé (o misto)

  • Combina Otto e Diesel: una parte isocora e una parte isobara per la combustione.
  • Sequenza:
    1. 1–2: Compressione adiabatica
    2. 2–3: Riscaldamento isocoro
    3. 3–4: Riscaldamento isobaro
    4. 4–5: Espansione adiabatica
    5. 5–1: Raffreddamento isocoro

Confronto tra i Cicli

Caratteristica Ciclo Otto Ciclo Diesel Ciclo Sabathé (Misto)
Tipo combustione Isocora Isobara Isocora + Isobara
Combustibile tipico Benzina Gasolio Nafta / Misti
Rendimento teorico Medio-Alto Alto Intermedio
Applicazioni Auto a benzina Camion, bus, navi Motori pesanti moderni

 

 

 

Lascia un commento

Il tuo indirizzo email non sarà pubblicato. I campi obbligatori sono contrassegnati *